Diffusion Projets Expérimentaux Scientifiques
Résumé de section
-
-
Cahier des charges :
Objectifs :
• Essayer d’améliorer les performances de la glacière qui pour l’instant offre une autonomie
de 12h quand 75% de son volume est rempli de glace.
• Limiter les transferts thermiques vers l’extérieur de la glacière
• Avoir la capacité de mettre en place des expériences pour réaliser des mesures fiables
• Étudier si l’utilisation d’un module Peltier est rentable
• Comprendre la physique des transferts thermiques entre différents corps de différentes
phases
Si le temps le permet, on regardera la façon dont se refroidi un corps quand sa température est
plus élevée que celle de son environnement
Matérielles utilisées :
• Glacière : Volume : 4,7 litres
• Dimensions : 16 cm × 21 cm × 14,2 cm
• Matériau isolant : Polyuréthane (conductivité thermique ~ 0,025 W/m·K)
• Épaisseur des parois : 1,4 cm
• Module Peltier :
Modèle envisagé : RS 174-3132 (https://fr.rs-online.com/web/p/modules-
peltier/1743132?gb=a)
• Puissance : 35 W
• Tension nominale : 16 V
• Courant nominal : 4A
• Nécessité d’un dissipateur thermique et d’un ventilateur pour évacuer la chaleur côté chaud
• Alimentation :
Batterie 12 V, capacité de ? Et 2 générateurs pour alimenter notre circuit (Peltier, carte
Arduino)
• Capteur de température :
2 capteurs thermométrique à semi-conducteur (https://fr.rs-online.com/web/p/kits-de-
developpement-pour-capteur/2049893?searchId=02026233-6408-4bb1-b53f-
263092dd7721&gb=s)
Points forts : mesure directement la température en utilisant la variation de la tension
d’une jonction semi-conductrice, fiable, précis et facile à utiliser avec carte Arduino
• Carte d’acquisition :
Carte Arduino (https://fr.rs-online.com/web/p/arduino/7697409?searchId=61f8c237-
a556-4c4e-b3a1-d86f9430b571&gb=s) avec le module micro sd et la micro carte sd pour
stocker les mesures
Démarche expérimentale :
Alimentation et Régulation
• Le module Peltier sera alimenté par un générateur réglable pour contrôler précisément
tension (U) et courant (I)
• Le dissipateur (5V) sera placé au-dessus du module Peltier et alimenté soit par une
batterie, soit par le générateur.
• La carte Arduino sera alimentée par un ordinateur.
• Les capteurs de température seront directement alimentés par la carte Arduino.
Acquisition des Données
• La carte Arduino sera connectée à un module micro SD pour stocker les températures
enregistrées toutes les 2 minutes.
• Les capteurs DS18B20 seront utilisés pour mesurer la température intérieure et extérieure.
Expérimentation sur Matériaux de Référence
• Un récipient avec le mélange eau glace fondu sera placé dans la glacière pour étudier
l’évolution de sa température.
Expériences envisagées :
• Expérience 1 : On étudie l’évolution de la température en fonction du temps avec la glacière
seule
• Expérience 2 : On étudie l’évolution de la température en fonction du temps avec le module
Peltier dès le début
Expérience bonus : On mettra un corps dont la température est supérieure à celle de l’extérieur et
on regardera comment évolue sa température en fonction du temps.
Méthode de mesure et validation :
Expérience 1• Un récipient ouvert contenant un mélange eau-glace fondu (température initiale Tin=0°C)
est placé au centre de la glacière.
• Deux capteurs de température DS18B20 sont positionnés :
Le premier à l’intérieur de la glacière pour mesurer Tin
Le second à l’extérieur pour mesurer la température ambiante Text.• Les capteurs sont connectés à une carte Arduino Uno programmée pour enregistrer les
températures toutes les 5 minutes sur une durée de plusieurs heures.• La carte Arduino est alimentée par un câble USB lié à l’ordinateur
• Les données sont stockées sur une carte microSD.
• À partir des données recueillies, on trace la courbe Tin=f(t), permettant de suivre
l’évolution de la température interne au cours du temps. Cette courbe sera comparée à la
courbe théorique issue des modèles de transfert thermique (conduction à travers les parois, et
refroidissement progressif du mélange eau-glace).
Expérience 2• Un récipient ouvert contenant un mélange eau-glace fondu (température initiale Tin=0°C) est
placé dans la glacière, comme dans l’expérience 1.• Un module Peltier est monté sur la paroi supérieure de la glacière, avec un dissipateur
thermique et un ventilateur pour évacuer la chaleur du côté chaud du module.• Le module Peltier est alimenté par un générateur de tension réglable (entre 0 et 5 V), permettant
de contrôler précisément la puissance de refroidissement.• le ventilateur sera alimenté par en dérivation avec le module Peltier.• Les capteurs de température sont replacés aux mêmes emplacements pour suivre Tin et Text• La courbe Tin=f(t) est tracée et comparée à celle de l’expérience 1 pour évaluer l’efficacité du
module Peltier.• On s’attend à ce que le réchauffement soit plus lent ou que la température reste stable plus
longtemps grâce à l’extraction de chaleur par le module Peltie -
I. Introduction
1.1 Contexte et problématique:
Les glacières classiques permettent de conserver des produits au frais en utilisant de la glace. Cependant, leur autonomie est limitée par la fonte de la glace et les transferts thermiques avec l'environnement extérieur. L'objectif de ce projet est d'étudier l'intégration d'un module Peltier afin d'améliorer ces performances et d'augmenter la durée de conservation.
1.2 Objectif de l’étude:
-Améliorer les performances thermiques de la glacière avec le module Peltier.
-Limiter les transferts thermiques avec l'environnement extérieur.
-Assurer des mesures fiables pour évaluer l'efficacité du module Peltier.
-Analyser la rentabilité et l'efficacité de l'utilisation d'un module Peltier.
-Comprendre la physique des transferts thermiques entre différents corps.
-Éventuellement, étudier le refroidissement/réchauffement d'un corps à une température supérieure/inferieure à celle de son environnement.II. Théorie et Principes Physiques
2.1 Principe du module:
Le module Peltier repose sur l'effet Peltier, un phénomène thermoélectrique qui survient à l'interface entre deux métaux ou semi-conducteurs de nature différentes lorsqu'un courant électrique les traverse. Ce courant induit un transfert de chaleur :
- Une face du module absorbe la chaleur de son environnement (côté froid).
- L'autre face dissipe cette chaleur (côté chaud).
Le module Peltier est constitué de jonctions entre des matériaux semi-conducteurs de type n et de type p, disposés en alternance. Lorsqu'un courant électrique traverse ces jonctions, il induit un mouvement des porteurs de charge (les électrons dans le semi-conducteur de type n et les trous dans le semi-conducteur de type p), ce qui entraîne le transfert de chaleur. Lorsque les électrons passent d’un matériau à un autre, ils doivent absorber ou libérer de l’énergie thermique pour s’adapter à un nouveau niveau d’énergie (selon le matériau). Ce transfert d'énergie se fait grâce à la différence de potentiel chimique (niveau de Fermi) entre les matériaux P et N et est exploitable pour le refroidissement ou le chauffage selon le sens du courant appliqué. Toutefois, l'efficacité du module est limitée par la dissipation thermique et l'effet Joule.
2.2 Modélisation Théorique: Bilan thermique
On appelle transfert thermique un échange d'énergie thermique (ou chaleur) qui a lieu d'un corps chaud vers un corps froid. Il est caractérisé par le flux thermique qui varie en fonction des defférentes grandeurs physioques en fonction du mode de transfert thermique qui est en jeu. Il en existe trois mais dans notre système on considère seulement deux mécanismes qui participent principalement aux échanges thermiques :
- La convection, entre l’eau contenue dans la glacière et l’air interne.
- La conduction, entre l’air de la glacière et l’environnement extérieur à travers les parois.
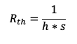
Le flux thermique est définit comme
où Rth est la résistance thermique d'un milieu, qu'il soit solide ou fluide, et se définit comme la capacité à s'opposer au flux de chaleur. - Dans le cas d'un solide
où e est l'épaisseur des parois du solide, lambda le coefficient de conduction thermique en Watt/m^2*K et S la surface a travers laquelle se fait le transfert. - Dans le cas d'un fluide, comme l'air,
où h est cette fois ci le coefficient de convection thermique. Pour l'air statique il se situe dans les environs de 10 Watts/m^2*K.

- Sans module Peltier :
Le bilan thermique s’écrit simplement comme la somme des flux de chaleur entrants et sortants :

- Avec module Peltier :
Le module Peltier introduit un refroidissement actif et une dissipation thermique par effet Joule. Le bilan devient :
=
Convention : les flux de chaleur entrants sont comptés positivement, les flux sortants négativement.
- Modélisation du refroidissement passif:
Le refroidissement d’un liquide isolé dans une enceinte peut être modélisé par une loi de décroissance exponentielle :

avec :- T(t) : température à l’instant t
- T0 : température initiale
- Text : température de l’environnement
- τ : constante de temps liée aux propriétés thermiques du système- Évaluation de la constante de temps
1. Constante de temps théorique τtheo
Dans le cas où la convection interne est négligeable (glacière remplie à plus de 80–90 %), on suppose que la conduction à travers les parois domine. On peut estimer la constante de temps par :
τthéo

Où :
- m : masse d’eau,
- Cp : capacité calorifique massique de l’eau,
- e : épaisseur des parois,
- λ : conductivité thermique du matériau isolant,
- S : surface d’échange thermique.
2. Constante de temps expérimentale τexp
À partir de la relation théorique, on linéarise l’équation :

En traçant ln(ΔT) en fonction du temps t, on obtient une droite dont la pente est :
Pente =-
ce qui entraine τexp = -
III. Matériel et MéthodologieGlacière : Volume de 4,7 L, en polyuréthane (conductivité thermique ~0,025 W/m.K), parois de 1,4 cm.
Permet d'assurer une isolation thermique pour limiter les échanges thermiques avec l'extérieur.
Module Peltier : RS 174-3132.
Utilisé pour générer un refroidissement actif grâce à l'effet Peltier.
Dissipateur thermique et ventilateur :
Essentiel pour évacuer la chaleur produite du côté chaud du module Peltier et éviter une surchauffe qui réduirait son efficacité.
Alimentation (générateur) :
Permet d'alimenter le module Peltier et d'assurer un contrôle précis de la puissance fournie.
Capteurs de température DS18B20 :
Utilisés pour mesurer avec précision la température intérieure et extérieure de la glacière.
Connectés à une carte Arduino pour un enregistrement fiable des données.
Carte Arduino avec stockage microSD :
Assure l'acquisition et le stockage des mesures pour une analyse approfondie des performances thermiques lke
.
IV. Expériences et Analyses
Afin d’évaluer l’efficacité thermique de la glacière et du module Peltier, plusieurs expériences ont été réalisées. Elles se répartissent en deux grandes catégories :
- Refroidissement passif (sans module Peltier)
- Refroidissement actif (avec module Peltier)
Les mesures de température ont été effectuées à l’aide de capteurs DS18B20, placés à l’intérieur de la glacière. Les données ont été enregistrées en continu à l’aide d’un Arduino Uno équipé d’un module de stockage microSD.
Différentes configurations de remplissage ont été testées :
- Une expérience préliminaire a été réalisée avec un récipient contenant 80 g d’eau chaude placé dans la glacière pour une première visualisation du comportement thermique.
- Trois expériences sans module Peltier ont ensuite été menées avec des taux de remplissage en eau de 50 %,80%et 90 %.
- Une expériences a été réalisée toujours avec un remplissage à 90 %, afin de comparer les effets du refroidissement passif avec et sans module Peltier dans les mêmes conditions initiales.
4.1. Expérience sans module Peltier (eau chaude)
4.1.1 L’objectif de cette étude:
Comparer la variation expérimentale de la température avec le modèle théorique attendu, en particulier dans le cadre d’un refroidissement suivant une décroissance exponentielle.
4.1.2 Données obtenues:

Remarque: On peut tout de suite remarquer un double régime de décroissance exponentielle (2 constantes de temps)
Ce comportement bi-exponentiel est du au deux mécanismes de transfert de chaleur en jeu:
- L'eau chaude qui transfère la chaleur à l'air interne (petit volume -> transfert rapide -> to1 petit)
- L'air réchauffé transfère la chaleur à la glacière et à l'extérieure (plus lent -> to2 grand)
Afin d’obtenir un ajustement pertinent entre le modèle théorique et le modèle expérimentale nous avons une loi biexponentielle:


Nous observons dans ce cas que le modèle de la double exponentielle suit bien la courbe expérimentale nous faisant nous dire que deux régimes thermiques sont bel et bien présent. Cependant, il est difficile d'observer visuellement les deux régimes. Une bonne méthode pour permettre de bien distinguer visuellement les deux régimes est de tracer le logarithme de la courbe expérimentale. En effet, quand un phénomène est régie par une loi exponentielle ou de puissance, tracer le logarithme de permet de se ramener a un courbe avec un comportement linéaire, ce qui est plus simple a analyser par la suite, que ce soit analytiquement ou visuellement.

Avec cette courbe on peut distinguer les différents régimes.
Un premier régime exponentiel au début, c’est le moment où l’eau se refroidit rapidement en chauffant l’air à l’intérieur de la glacière. On a donc le transfert de chaleur qui se fait entre l’eau et l’air intérieur qui est caractérisé par la Courbe jaune, c'est 1er temps caractéristique τ₁. Vient ensuite la zone de transition qui correspond à une rupture de la courbe, donc quand l’air intérieur commence à atteindre un équilibre thermique avec l’eau. Le flux de chaleur devient moins net, les deux températures (eau/air intérieur) sont proches, ce qui induit le changement de pente. Enfin, le deuxième régime exponentiel (plus lent) qui est dû au transfert de chaleur entre l’air intérieur (et l’eau) et l’air extérieur à 20 °C. Ce régime est plus lent car isolé par les parois de la glacière et il correspond à un deuxième temps caractéristique τ₂.
4.2.1 L’objectif de cette étude:4.2. Expérience sans module Peltier (eau-glace)
L'objectif de cette manipulation est d'étudier l'évolution de la température à l'intérieur de la glacière remplie à 80 % d'un mélange eau-glace, en négligeant les transferts par convection. Les données ont été enregistrées à l'aide des deux capteurs de température (intérieur et extérieur) connectés à la carte Arduino. Une modélisation théorique a été réalisée pour comparer avec les résultats expérimentaux
4.2.2 Observation expérimentale :
La température extérieure (Text) fluctue autour d'une valeur moyenne de 20.55 +/- 0.44 °C (supposée constante pour la modélisation).
Les 80 000 premiers points (secondes) ont été écartés car ils ne suivent pas une tendance exponentielle (probablement dû à l'inertie thermique initiale ou à des perturbations transitoires).Nous nous intéresserons à un intervalle limité de la courbe.
On peut observer que la température intérieure (Tint) suit une croissance exponentielle aprés la phase transitoire (T₀ = 5°C) vers la température extérieure moyenne (Text_moyenne). - Une face du module absorbe la chaleur de son environnement (côté froid).
-
Pour approfondir cette étude nous avons tracé delta T (Tint-Text) en fonction du temps

Afin de vérifier que notre modèle suit véritablement un modèle exponentielle nous allons tracer comme expliquer dans la partie théorique ln(delta T) en fonction du t.Nous observons bien une droite et donc notre expérience suit bien un modèle exponentiel.

4.3 Experience 2 sans module Peltier (eau-glace)
4.3.1 L'objectif de cette étude:
Dans cette étape, la glacière a été remplie avec un mélange eau-glace à 90 % avec l'ajout d'un troixième capteur pour mesurer la temperature de l'air et le but était d’observer l’évolution naturelle des températures dans le temps, sans aucune intervention extérieure. Nous avons utilisé, cette fois, cette expérience comme référence pour comparer les résultats avec et sans le module Peltier.
4.3.2 Observation expérimentale:

Et aprés avoir limité l'intervalle en 50000 et 200000 seconds on a ensuite tracé la variation de delta T (Text - Tint) en fonction du temps:

On peut remarquer que jusqu'à 120000 notre courbe décroise selon une loi exponentielle.
Et pour approfondir l'étude on a tracé ln(delta T) pour s'assurer de la forme exponentielle de notre courbe:
En se focalisant sur la partie de la courbe jusqu'à 120000 secondes
Et pour calculer la constante du temps expérimentale on a fais un ajustement exponentielle de notre courbe à l'aide de Python:

-
4.3.3 Analyse de l'expérience.
Lors de l’expérience sans module Peltier, nous avons d’abord tracé la courbe expérimentale de la température interne du mélange eau-glace en fonction du temps.
Ensuite, nous avons calculé la constante de temps τ expérimentale à partir d’un ajustement exponentiel.
Pour rappel, la constante de temps τ nous donne une idée de la vitesse à laquelle le système évolue vers l’équilibre thermique.
-
Avec nos données, nous avons obtenu un τ expérimental d’environ 9 heures.
-
En parallèle, nous avons estimé un τ théorique d’environ 14 heures, en supposant un volume de 4.23 L (soit 90 % de la capacité totale de 4,7 L) pour le mélange eau-glace.
Cette différence entre théorie et expérience s’explique principalement par le fait que dans le modèle théorique, nous n’avons pas pris en compte certains transferts thermiques, notamment :
-
la convection naturelle de l’air restant dans la glacière,
-
et les pertes de chaleur par les parois ou les jonctions.
Malgré cette simplification, le modèle reste globalement cohérent, et la valeur expérimentale de τ permet de quantifier plus précisément la dynamique thermique réelle du système.
-
-
4.4 Experience avec module Peltier (eau-glace)
4.4.1 L'objectif de cette étude:
Nous restons dans les mêmes conditions expérimentale que l'expérience sans module Peltier à 90% et le but de cette manipulation est de comparer l'évolution de notre température avec et sans module peltier.
4.4.2 Utilisation du module peltier :
La tension à appliquer au module peltier dépend de la différence de température entre l'intérieur et l'extérieur de la glacière et de la quantité de chaleur que l'on cherche à extraire. Dans notre cas, on travaillait avec une différence de température de température aux alentours des 20°C. De plus, en fonction des caractéristiques de la glacière, à savoir le matériau qui compose les parois, leurs épaisseurs et la surface à travers laquelle s'effectue les transferts de chaleur, on a pu déterminer au préalable la quantité de chaleur a extraire. En connaissant la quantité de chaleur à extraire, on utilise la datasheet du constructeur pour connaitre la tension à appliquer.

Das les condition de notre expérience, on souhaite extraire une quantité de chaleur entre 6 et 10 watts de façon a maintenir la température de l'eau la plus proche de sa température initiale, dans les environs de 0°C. Pour ce faire le constructeur recommande un ampérage se situant entre 1 et 1,5 ampère, on peut regarder ce que recommande le constructeur
Le constructeur recommande donc d'appliquer une tension d'environ 7V pour avoir un ampérage a travers le peltier qui permettrait d'extraire entre 6 et 10 watt de chaleur. En réalité, la datasheet utilisée ne correspond pas a celle du module choisi pour l'expérience, elle n'est plus disponible car le modèle que nous avions commandé n'est surement plus disponible. Quoiqu'il en soit, la méthode pour trouver la tension à appliquer reste la même et pendant nos séance nous avions trouvé qu'il fallait appliqué une tension aux alentours des 8V. Aussi, pour éviter que le peltier chauffe trop à cause de l'effet joule et qu'il se dégrade, il nous a fallut placer un dissipateur thermique, donc un ventilateur, de manière a refroidir le peltier. Comme les mesures se font sur un temps relativement long, une résistance a été placé en amont du ventillateur pour que la tenion a ses bornes soit diminuée. En effet, lors de nos tests, nous avions constaté qu'en appliquant une tension de 8V au ventilateur, ce dernier soufflait beaucoup et notre crainte était de cramer le ventilateur. Comme nous voulions utiliser une seule source de tension, le choix de faire un circuit en dérivation et de mettre une résistance en amont était la décision la plus logique.

Nous avons considéré qu'il était aussi intéressant de calculer les pertes thermiques et certains paramètre du module peltier, typiquement son coefficient de performance. Il est fournit par la datasheet mais il nous semble utile de le retrouver par le calcul.

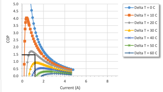
La datasheet nous indique que pour un ampérage de 1,2 A et une différence de température d'environ 20°C, le COP est de 1,5. On peut définir le COP comme une grandeur similaire a un rendement. On peut alors dire que COP est le rapport de la puissance électrique utilisé sur la chaleur extraite.
Donc on écrit que le COP = Pelec/chaleur extraite = 1,202*8/6,15 = 1,56, cette valeur est proche de celle donné par le constructeur. Je crains cependant que ma méthode pour trouver la valeur du COP soit fausse car un rendement est normalement définit comme le rapport de l'énergie utile / l'énergie dépensée, donc l'inverse du calcul fait précédemment. En faisant l'application numérique on trouve 0,63, ce qui ne correspond pas a la valeur du constructeur. Je pense que l'erreur viens du fait que ne choisissons pas les bonnes grandeurs pour effectuer le calcul.
Aussi, il intéressant de remarqué que pour des différences de température plus élevées, le COP s'effondre pour tomber dans les 10% de rendement et c'est celle valeur que l'on retrouve ne général dans les articles ou sur internet quand on s'intéresse au rendement d'un module peltier.4.4.3 Observation expérimentale:
Sur ce graphique représentant l’expérience avec le module Peltier, on remarque plusieurs comportements thermiques intéressants. La température extérieure (en vert) reste relativement stable autour de 24 à 25 °C, ce qui confirme que les conditions ambiantes étaient constantes. La température de l’air interne (en orange) chute brutalement au début de l’expérience, passant de près de 19 °C à moins de 10 °C, ce qui indique une activation immédiate et efficace du module Peltier. Toutefois, on observe ensuite une remontée progressive de cette température, traduisant une perte d’efficacité sur le long terme, probablement due à l'accumulation de chaleur sur la face chaude du module. La température du mélange eau-glace (en bleu) augmente très lentement au cours du temps, partant d’environ 1 °C pour atteindre environ 14 °C après plusieurs heures, ce qui montre une bonne conservation du froid.
4.5 Comparaison des deux modèles
- D'un point de vue qualitatif:
-
Critère
Sans module Peltier
Avec module Peltier
Maintient de la température initiale
Correcte
Plus long
Stabilité de température
Moyenne (fluctuations)
Bonne
Efficacité thermique
Limitée
Améliorée
Autonomie thermique
Faible
Améliorée (mais dépend du courant)
- D'un point de vue quantitative : Le graphique compare l’évolution de la température interne du mélange (Tint) avec et sans l’utilisation d’un module Peltier. On observe que, sans module Peltier (courbe rouge), la température augmente rapidement au début, puis plus lentement jusqu’à atteindre un plateau autour de 22 °C, traduisant un réchauffement progressif vers la température ambiante. En revanche, avec le module Peltier (courbe bleue), la température reste nettement plus basse, atteignant un maximum d’environ 14 °C. Cela montre que le module Peltier ralentit efficacement l’élévation de la température interne du mélange, en limitant les transferts thermiques avec l’extérieur. Ainsi, bien qu’il ne permette pas un refroidissement actif en dessous de la température initiale, il joue un rôle de régulateur thermique en retardant le réchauffement, ce qui est particulièrement utile pour maintenir un contenu au frais plus longtemps.
5. ConclusionL’ensemble des expériences menées dans le cadre de ce projet a permis d’étudier en profondeur le comportement thermique d’une glacière, équipée ou non d’un module Peltier, dans deux contextes : le refroidissement d’une masse d’eau chaude initialement à 40 °C, et le maintien au froid d’un grand volume d’eau froide (80 % d’une glacière de 4,7 L, soit ~3,78 kg). Dans le premier cas, l’analyse de l’écart thermique ΔT a révélé deux régimes exponentiels distincts interprétés comme un transfert initial rapide de chaleur entre l’eau et l’air intérieur de la glacière, suivi d’une zone de transition marquant l’équilibrage thermique entre l’eau et l’air, avant un second régime plus lent correspondant au transfert vers l’extérieur à travers les parois isolantes. Ce comportement a été modélisé avec succès par un ajustement double exponentiel, confirmé par la linéarisation de log(ΔT). Dans le second cas, l’expérience avec eau froide visait à maintenir une température basse et a été menée avec et sans le module Peltier. Sans module, le réchauffement est progressif, tandis qu’avec le module, un plateau de température est observé, révélant une capacité du Peltier à ralentir temporairement le réchauffement. Toutefois, l’effet reste limité en raison de la puissance modeste du module, du courant d’alimentation restreint et du manque de circulation d’air interne. En comparant ces deux scénarios, on souligne l’importance de l’inertie thermique du système et les limites du module thermoélectrique dans cette configuration. Des pistes d’optimisation incluent une meilleure isolation, l’ajout d’un meilleur radiateur. Ainsi, ce projet met en lumière à la fois les mécanismes thermiques multi-régimes dans un système isolé et le rôle réel que peut jouer un module Peltier dans une application de conservation thermique.
Perspectives :
- Tester d’autres modules Peltier plus puissants.
- Optimiser la dissipation thermique pour augmenter le rendement.
- Étudier la possibilité de fonctionnement avec panneau photovoltaïque pour une utilisation nomade.
- Étudier un régulateur thermique automatique (PID). - D'un point de vue qualitatif:
-